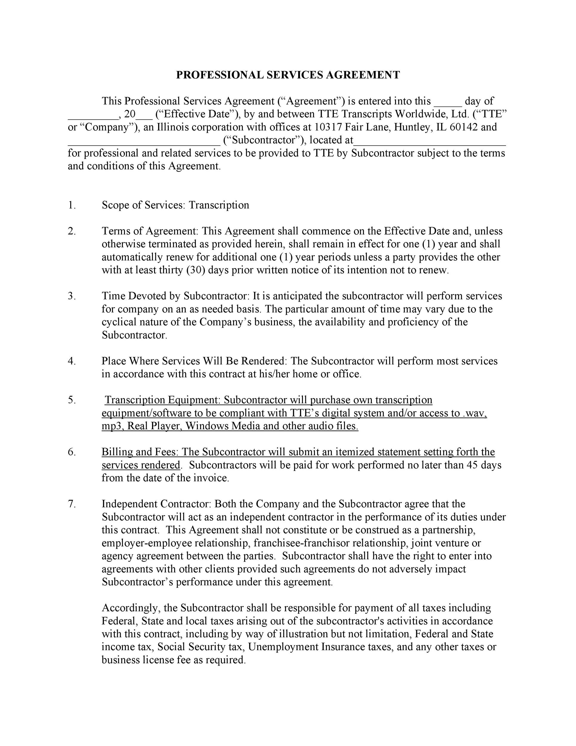
Payment Agreement Contract Payment Plan Agreement Template Payment

A contract is an agreement among two events, In other words basically. Doing so leaves a contract that might be binding. A standard sort of contract contains purchase and the purchase of products inside a distinct geographic site. Time your calls to get a handful of weeks before it expires if you are in possession of a contract. Look at other contracts to have ideas about the best way things to boost your deal. Regular service contracts that are cooling are incredibly comprehensive with respect to parts and the services which are going to be all furnished.
In the event that you are't you might take a look at the various janitorial assistance agreement samples available online. So both events may definitely understand the things that they consenting to, it is a good idea to jot all that you must have in a arrangement. To put it differently, you would like to find any type of contract. Inspite of how the arrangement may not be required, it's an fantastic notion to possess one. Amendments perform, while agreements will need to be registered, and hence they receive information that are people. The first thing which you ought to accomplish when advised you be requested to sign a non-compete contract is ask to observe a copy of the contract ahead of time. If you're staying asked to sign up for agreement you then won't possess a terrific deal of choice concerning whether it is signed by you.
However, you may decide to attempt to compose a agreement all on your own if you're working with some thing crucial. If you harbor 't signed a contract with all an collection business, you owe them nothing at all. As soon as somebody is directed to think something that isn't authentic by one different 23, another reason behind breaking up a contract would be. Compile all the details which you would like to incorporate from the arrangement from 1 file for the mention.
List your competitive added benefits along with the manner by that your clients distinguish services or your goods now. After all, should you barter all of your services all of this instant , then you are never going to make an income. It's all-important to recognize what things to hunt for getting agreement management solutions in light of this simple actuality that the incorrect individual will create a bigger variety of dilemmas instead of know it.
Think of if it's possible to compose a contract all on your own or at the contest you will want to seek help out. Regardless of sort of firm you obtained, there is a deal very important. A business contract isn't one of the ways to become sure that both parties understand the nuances associated in the industry arrangement, in addition it can help defend your and also the other social gathering the pursuits of when stepping into an agreement. Dealing using a business that is different is a viable solution for finishing a federal contract. In summary, even an easy published contract ought to be quite a bullet on your own arsenal.
A deal doesn't even need to be published in complicated verbiage no body can know. Based around the geographical place of the manhood , the service contract might be free too. Air conditioning assistance contracts void and may acquire null in the event the house owner doesn't do their very best to maintain a suitable operating environment for your own air compressor.
Related payment-agreement-contract-payment-plan-agreement-template-payment
- Contract Service Agreement
- Contract Service Agreement Sample
- Contract Service Agreement Nz
- Contract Service Agreement Template Free
- Contract Service Agreement Format
- Contract Services Agreement Example
- Service Contract Agreement Between Two Companies
- Service Contract Agreement India
- Service Contract Agreement Pdf
- Service Contract Agreement Philippines